欢迎光临:莱耀标准品网!
 您的位置:对照品 > 标准物质 > 农残标准物质 >
2’-O-(5’’-Deoxy-2’’,3’&rsq
产品基本信息
产品编号:D250995
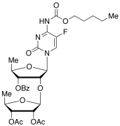
产品名称:2’-O-(5’’-Deoxy-2’’,3’&rsq
产品CAS:
规格含量:100mg
产品价格:面议
联系我们:
产品详细介绍
标准品编号: D250995
名称: 2’-O-(5’’-Deoxy-2’’,3’’-diacetyl-β-D-ribofuranosyl) Capecitabine 3’-O-Benzoate
别名: [1-[3’-O-Benzoate-5’-deoxy-2’-O-(5’’-deoxy-2’’,3’’-diacetyl-β-D-ribofuranosyl)-β-D-ribofuranosyl]-5-fluoro-2-oxo-1,2-dihydropyrimidin-4-yl]carbamic Acid Pentyl Ester;
分子式: C₃₁H₃₈FN₃O₁₂
外观: Light Yellow Gum
分子量: 663.64
溶解性: Chloroform, Dichloromethane, Methanol
种类: Standards; Pharmaceutical/API Drug Impurities/Metabolites; Carbohydrates and Oligosaccharides;
应用: Capecitabine (C175650) impurity.
参考文献


2011-2018 信阳莱耀生物科技有限公司 @ 信阳埃尔文生物科技有限公司版权所有

中检所标准品,对照品,标准气体
Keywords: 中检所标准品 对照品 标准气体