欢迎光临:莱耀标准品网!
 您的位置:对照品 > 标准物质 > 计量院标准物质 >
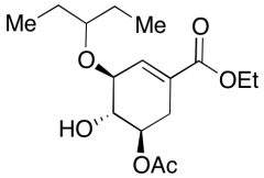
(3S,4S,5R)-Ethyl 5-Acetoxy-4-hydroxy-3-(pentan-3-yloxy)cyclohex-1-enecarboxylate
产品基本信息
产品编号:E918010
产品名称:(3S,4S,5R)-Ethyl 5-Acetoxy-4-hydroxy-3-(pentan-3-yloxy)cyclohex-1-enecarboxylate
产品CAS:347378-70-5
规格含量:25mg
产品价格:面议
联系我们:
产品详细介绍
标准品编号: E918010
名称: (3S,4S,5R)-Ethyl 5-Acetoxy-4-hydroxy-3-(pentan-3-yloxy)cyclohex-1-enecarboxylate
CAS号: 347378-70-5
分子式: C₁₆H₂₆O₆
外观: Light Yellow Oil
分子量: 314.37
溶解度: DCM, Ethyl Acetate, Methanol
种类: Building Blocks; Chiral Molecules; Pharmaceutical/API Drug Impurities/Metabolites;
应用: (3S,4S,5R)-Ethyl 5-Acetoxy-4-hydroxy-3-(pentan-3-yloxy)cyclohex-1-enecarboxylate is an intermediate in the synthesis of enantiomeric derivatives of Oseltamivir (O701000).
参考文献


2011-2018 信阳莱耀生物科技有限公司 版权所有

中检所标准品,对照品,标准气体
Keywords: 中检所标准品 对照品 标准气体