欢迎光临:莱耀标准品网!
 您的位置:对照品 > 标准物质 > 计量院标准物质 >
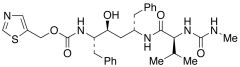
Des(isopropylthiazolyl) Ritonavir
产品基本信息
产品编号:D290210
产品名称:Des(isopropylthiazolyl) Ritonavir
产品CAS:176655-57-5
规格含量:10mg
产品价格:面议
联系我们:
产品详细介绍
标准品编号: D290210
名称: Des(isopropylthiazolyl) Ritonavir
别名: (3S,4S,6S,9S)-4-Hydroxy-9-(1-methylethyl)-8,11-dioxo-3,6-bis(phenylmethyl)-2,7,10,12-tetraazatridecanoic Acid 5-Thiazolylmethyl Ester;
CAS号: 176655-57-5
分子式: C₃₀H₃₉N₅O₅S
分子量: 581.73
种类: Standards; Pharmaceutical/API Drug Impurities/Metabolites;
应用: A metabolite of Ritonavir (R535000), an orally active HIV-1 protease inhibitor.
参考文献


2011-2018 信阳莱耀生物科技有限公司 @ 信阳埃尔文生物科技有限公司版权所有

中检所标准品,对照品,标准气体
Keywords: 中检所标准品 对照品 标准气体