欢迎光临:莱耀标准品网!
 您的位置:对照品 > 标准物质 > 计量院标准物质 >
Deisopropylhydroxyatrazine-d5
产品基本信息
产品编号:D228847
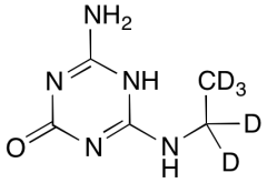
产品名称:Deisopropylhydroxyatrazine-d5
产品CAS:
规格含量:10mg
产品价格:面议
联系我们:
产品详细介绍
标准品编号: D228847
名称: Deisopropylhydroxyatrazine-d5
参考CAS号: 7313-54-4 unlabelled
分子式: C₅H₄D₅N₅O
分子量: 160.19
种类: Standards; Environmental Standards, Mutagens and Metabolites;
应用: Deisopropylhydroxyatrazine-d5 is the labelled analogue of Deisopropylhydroxyatrazine (D228845), a metabolite of Atrazine (A794600), Selective herbicide. Potential symptoms of overexposure are irritation of eyes and skin; dermatitis, skin sensitization; dyspnea, weakness, incoordination, salivation; hypothermia; liver injury. This compound is a contaminant of emerging concern (CECs)
参考文献


2011-2018 信阳莱耀生物科技有限公司 @ 信阳埃尔文生物科技有限公司版权所有

中检所标准品,对照品,标准气体
Keywords: 中检所标准品 对照品 标准气体