您的位置:对照品 > 标准物质 > 环保部标准物质 > |
|
|
|
| 产品基本信息 |
|
| 产品编号:N345602 |
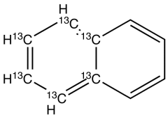
| 产品名称:Naphthalene-13C6 |
| 产品CAS:287399-34-2 |
| 规格含量:10mg |
| 产品价格:面议 |
| 联系我们: |
|
|
|
|
|
| 产品详细介绍 |
| 标准品编号: |
N345602 |
| 名称: |
Naphthalene-13C6 |
| 别名: |
Albocarbon-13C6; Dezodorator-13C6; Moth Flakes-13C6; NSC 37565-13C6; Tar Camphor-13C6; White Tar-13C6; |
| CAS号: |
287399-34-2 |
| 参考CAS号: |
91-20-3-unlabelled |
| 分子式: |
C₄¹³C₆H₈ |
| 分子量: |
134.13 |
| 种类: |
Building Blocks; Isotopic Labeled Analogues; |
| 应用: |
Labelled polycyclic aromatic hydrocarbons as micropollutants. |
| 危险品: |
Not a dangerous good if item is equal to or less than 1g/ml and there is less than 100g/ml in the package |
| 参考文献 |
|
|
|
|
|
|