欢迎光临:莱耀标准品网!
 您的位置:对照品 > 标准物质 > 环保部标准物质 >
(2S,5R,6R)-6-[[(2R)-[(3-Methoxy-1-methyl-3-oxo-1-propenyl)amino]phenylacetyl]amino]-3,3-di
产品基本信息
产品编号:M262938
产品名称:(2S,5R,6R)-6-[[(2R)-[(3-Methoxy-1-methyl-3-oxo-1-propenyl)amino]phenylacetyl]amino]-3,3-di
产品CAS:67474-99-1
规格含量:25mg
产品价格:面议
联系我们:
产品详细介绍
标准品编号: M262938
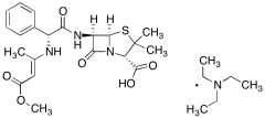
名称: (2S,5R,6R)-6-[[(2R)-[(3-Methoxy-1-methyl-3-oxo-1-propenyl)amino]phenylacetyl]amino]-3,3-dimethyl-7-oxo-4-Thia-1-azabicyclo[3.2.0]heptane-2-carboxylic Acid Triethylamine
别名: [2S-[2α,5α,6β(S*)]]-6-[[[(3-Methoxy-1-methyl-3-oxo-1-propenyl)amino]phenylacetyl]amino]-3,3-dimethyl-7-oxo-4-thia-1-azabicyclo[3.2.0]heptane-2-carboxylate N,N-Diethyl-ethanamine
CAS号: 67474-99-1
参考CAS号: 60158-38-5
分子式: C₂₁H₂₅N₃O₆S • C ₆H₁₅N
外观: 淡黄色固体
分子量: 447.5010119
溶解度: Methanol
种类: Standards; Chiral Molecules; Pharmaceutical/API Drug Impurities/Metabolites; Antibotics;
应用: (2S,5R,6R)-6-[[(2R)-[(3-Methoxy-1-methyl-3-oxo-1-propenyl)amino]phenylacetyl]amino]-3,3-dimethyl-7-oxo-4-Thia-1-azabicyclo[3.2.0]heptane-2-carboxylic Acid Triethylamine is an intermediate in the synthesis of Penicillanyl Ampicillinamide (P223548). Penicillanyl Ampicillinamide is an analog and impurity of Ampicillin (A634300) and is also a useful intermediate.
参考文献


2011-2018 信阳莱耀生物科技有限公司 版权所有

中检所标准品,对照品,标准气体
Keywords: 中检所标准品 对照品 标准气体