欢迎光临:莱耀标准品网!
 您的位置:对照品 > 标准物质 > 环保部标准物质 >
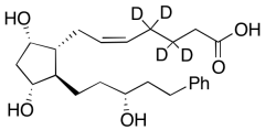
Latanoprost Acid-d4
产品基本信息
产品编号:L177312
产品名称:Latanoprost Acid-d4
产品CAS:1224443-47-3
规格含量:10mg
产品价格:面议
联系我们:
产品详细介绍
标准品编号: L177312
名称: Latanoprost Acid-d4
别名: (5Z)-7-[(1R,2R,3R,5S)-3,5-Dihydroxy-2-[(3R)-3-hydroxy-5-phenylpentyl]cyclopentyl]-5-heptenoic-d4 Acid; 13,14-Dihydro-17-phenyl-18,19,20-trinor-PGF2α-d4; PhXA 85-d4; Latanoprost Related Compound E USP-d4
CAS号: 1224443-47-3
参考CAS号: Unlabelled: 41639-83-2
分子式: C₂₃H₃₀D₄O₅
外观: Colorless Thick Oil to Gel
分子量: 394.54
储存: Hygroscopic, -20°C Freezer, Under inert atmosphere
溶解度: Chloroform (Slightly), DMSO (Slightly, Methanol (Slightly))
种类: Research Tools; Chiral Molecules; Isotopic Labeled Analogues; Pharmaceutical/API Drug Impurities/Metabolites;
应用: Latanoprost Acid-d4 is the labeled analogue of Latanoprost Acid (L177310), a metabolite of Latanoprost. Latanoprost Acid (L177310) is a potent, selective FP prostanoid receptor agonist, a F-series Prostaglandin analog and is 200 times as potent as isopropyl ester form.
参考文献


2011-2018 信阳莱耀生物科技有限公司 版权所有

中检所标准品,对照品,标准气体
Keywords: 中检所标准品 对照品 标准气体