欢迎光临:莱耀标准品网!
 您的位置:对照品 > 标准物质 > 环保部标准物质 >
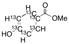
Methyl Paraben-13C6 (50 μg/mL in Acetone)
产品基本信息
产品编号:KIT1510
产品名称:Methyl Paraben-13C6 (50 μg/mL in Acetone)
产品CAS:1581694-95-2
规格含量:5x1ml
产品价格:面议
联系我们:
产品详细介绍
标准品编号: KIT1510
名称: Methyl Paraben-13C6 (50 μg/mL in Acetone)
别名: 4-Hydroxybenzoic Acid Methyl Ester-13C6; 4-(Carbomethoxy)phenol-13C6; 4-(Methoxycarbonyl)phenol-13C6; 4-Hydroxybenzoic Acid Methyl Ester-13C6; 4-Hydroxymethyl Benzoate-13C6; Danisol M-13C6; E 218-13C6; Killitol-13C6; Maseptol-13C6; Mekkings M-13C6; Metaben-13C6; Metagin-13C6; Paridol-13C6; Preserval-13C6; Solbrol-13C6
CAS号: 1581694-95-2
参考CAS号: Unalbeled: 99-76-3
分子式: C₂¹³C₆H₈O₃
分子量: 158.1
种类: Standards; Solutions; Kits;
应用: Methyl Paraben-13C5, is the labeled analogue of Methyl Paraben (M325660), used as preservative in foods, beverages and cosmetics.
参考文献


2011-2018 信阳莱耀生物科技有限公司 版权所有

中检所标准品,对照品,标准气体
Keywords: 中检所标准品 对照品 标准气体