您的位置:对照品 > 标准物质 > 环保部标准物质 >
产品基本信息
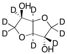
产品编号:I902153
产品名称:Isosorbide-D8
产品CAS:
规格含量:5mg
产品价格:面议
联系我们:
产品详细介绍
标准品编号:
I902153
名称:
Isosorbide-D8
别名:
1,4:3,6-Dianhydro-D-glucitol-D8; 1,4:3,6-Dianhydro-sorbitol-D8; (+)-D-Isosorbide-D8; Devicoran-D8; Hydronol-D8; Ismotic-D8; Isobide-D8; NSC 40725-D8;
参考CAS号:
Unlabeled: 652-67-5
分子式:
C₆H₂D₈O₄
外观:
白色固体
熔点:
53-56°C
分子量:
154.19
储存:
冰箱
溶解度:
DMSO (Sparingly), Methanol (Slightly)
种类:
Standards; Chiral Molecules; Isotopic Labeled Analogues;
应用:
Isosorbide-D8 is the labeled version of Isosorbide (I901680, which is used as a reagent used to prepare detergents, cleansers, cosmetics, agrochemicals and vasodilators.
参考文献
Hastwell, P., et al.: Mutagen., 24, 455 (2009), Guillarme, S., et al.: Bioorg. Chem., 38, 43 (2010), Dillon, G., et al.: Bioorg. Med. Chem., 18, 1045 (2010)