欢迎光临:莱耀标准品网!
 您的位置:对照品 > 标准物质 > 环保部标准物质 >
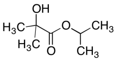
Isopropyl 2-Methyllactate
产品基本信息
产品编号:I872225
产品名称:Isopropyl 2-Methyllactate
产品CAS:34900-10-2
规格含量:250mg
产品价格:面议
联系我们:
产品详细介绍
标准品编号: I872225
名称: Isopropyl 2-Methyllactate
别名: Isopropyl α-Hydroxyisobutyratel; Isopropyl 2-Hydroxy-2-methylpropionate;
CAS号: 34900-10-2
分子式: C₇H₁₄O₃
外观: Pale Yellow Liquid
分子量: 146.18
溶解度: DCM, Ethyl Acetate, Methanol, Toluene
种类: Standards; Pharmaceutical/API Drug Impurities/Metabolites;
应用: Isopropyl 2-Methyllactate is an intermediate in synthesizing Fenofibric Acid 1,1-Dimethyl-2-(1-methylethoxy)-2-oxoethyl Ester (F248680), which is an impurity of Febofibrate (F248640). Febofibrate is an antilipemic. It is a lipid regulating drug. Increases high density lipoprotein levels by reducing cholesteryl ester transfer protein expresion.
参考文献


2011-2018 信阳莱耀生物科技有限公司 版权所有

中检所标准品,对照品,标准气体
Keywords: 中检所标准品 对照品 标准气体