您的位置:对照品 > 标准物质 > 环保部标准物质 > |
|
|
|
| 产品基本信息 |
|
| 产品编号:E649960 |
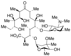
| 产品名称:seco Erythromycin |
| 产品CAS:143416-84-6 |
| 规格含量: |
| 产品价格:面议 |
| 联系我们: |
|
|
|
|
|
| 产品详细介绍 |
| 标准品编号: |
E649960 |
| 名称: |
seco Erythromycin |
| 别名: |
[2R-(2R*,3S*,4S*,5R*,6R*,8R*,10R*,11R*,12R*,13R*)]-3-[(2,6-Dideoxy-3-C-methyl-3-O-methyl-α-L-ribo-hexopyranosyl)oxy]-6,11,12,13-tetrahydroxy-2,4,6,8,10,12-hexamethyl-9-oxo-5-[[3,4,6-trideoxy-3-(dimethylamino)-β-D-xylo-hexopyranosyl]oxy]pentadecanoic Acid; Erythromycin Hydrolyzed Metabolite; |
| CAS号: |
143416-84-6 |
| 分子式: |
C₃₇H₆₉NO₁₄ |
| 分子量: |
751.94 |
| 种类: |
Standards; Pharmaceutical/API Drug Impurities/Metabolites; Carbohydrates and Oligosaccharides; |
| 应用: |
A hydrolyzed metabolite of Erythromycin (E649950). |
| 参考文献 |
|
|
|
|
|
|