欢迎光临:莱耀标准品网!
 您的位置:对照品 > 标准物质 > 环保部标准物质 >
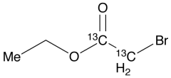
Ethyl Bromoacetate-1,2-13C2
产品基本信息
产品编号:E900142
产品名称:Ethyl Bromoacetate-1,2-13C2
产品CAS:61898-49-5
规格含量:1g
产品价格:面议
联系我们:
产品详细介绍

标准品编号: E900142
名称: Ethyl Bromoacetate-1,2-13C2
别名: Bromoacetic-13C2 Acid Ethyl Ester; Bromoacetic-13C2 Acid Ethyl Ester; Ethyl [1,2-13C2]Bromoacetate;
CAS号: 61898-49-5
参考CAS: 未标记:105-36-2
分子式: C₂¹³C₂H₇BrO₂
外观: Clear Colourless Oil
熔点: N/A
分子量: 168.99
储存: Hygroscopic, 冰箱保存, Under Inert Atmosphere
溶解度: Chloroform (Slightly), Methanol (Slightly)
种类: Building Blocks; Isotopic Labeled Analogues; Miscellaneous;
应用: Labeled Ethyl Bromoacetate, is used in the synthesis of 13C4-labeled metabolites of carcinogenic PAHs. Used in the preparation of steroidal antiestrogens through cyclic condensation. A reactant in the preparation of antimicrobial and antioxidant coumarinyloxymethyl-thiadiazolone.
危险品: This compound is forbidden to ship by air under IATA regulations.
参考文献


2011-2018 信阳莱耀生物科技有限公司 版权所有

中检所标准品,对照品,标准气体
Keywords: 中检所标准品 对照品 标准气体