欢迎光临:莱耀标准品网!
 您的位置:对照品 > 标准物质 > 环保部标准物质 >
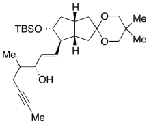
(1E,3R,4S)-1-[(3'aS,4'R,5'R,6'aR)-5'-[[(1,1-Dimethylethyl)dimethylsilyl]oxy]hexahydro-5,5-
产品基本信息
产品编号:D473515
产品名称:(1E,3R,4S)-1-[(3'aS,4'R,5'R,6'aR)-5'-[[(1,1-Dimethylethyl)dimethylsilyl]oxy]hexahydro-5,5-
产品CAS:910916-95-9
规格含量:1mg
产品价格:面议
联系我们:
产品详细介绍
标准品编号: D473515
名称: (1E,3R,4S)-1-[(3'aS,4'R,5'R,6'aR)-5'-[[(1,1-Dimethylethyl)dimethylsilyl]oxy]hexahydro-5,5-dimethylspiro[1,3-dioxane-2,2'(1'H)-pentalen]-4'-yl]-4-methyl-1-octen-6-yn-3-ol
CAS号: 910916-95-9
分子式: C₂₈H₄₈O₄Si
外观: Clear Oil
分子量: 476.76
溶解性: DCM, Ethyl Acetate, Methanol
种类: Standards; Chiral Molecules; Enzyme Activators and Inhibitors; Pharmaceutical/API Drug Impurities/Metabolites;
应用: (1E,3R,4S)-1-[(3'aS,4'R,5'R,6'aR)-5'-[[(1,1-Dimethylethyl)dimethylsilyl]oxy]hexahydro-5,5-dimethylspiro[1,3-dioxane-2,2'(1'H)-pentalen]-4'-yl]-4-methyl-1-octen-6-yn-3-ol is an intermediate in the synthesis of Iloprost (I267300),a synthetic analogue of Prostacyclin (PGI2) used to treat pulmonary arterial hypertension (PAH), scleroderma, raynaud's phenomenon and ischemia.
参考文献


2011-2018 信阳莱耀生物科技有限公司 版权所有

中检所标准品,对照品,标准气体
Keywords: 中检所标准品 对照品 标准气体