欢迎光临:莱耀标准品网!
 您的位置:对照品 > 标准物质 > 环保部标准物质 >
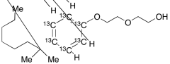
4-(1,1-Dimethylheptyl)phenol-13C6 Diethoxylate
产品基本信息
产品编号:D472852
产品名称:4-(1,1-Dimethylheptyl)phenol-13C6 Diethoxylate
产品CAS:
规格含量:5mg
产品价格:面议
联系我们:
产品详细介绍
标准品编号: D472852
名称: 4-(1,1-Dimethylheptyl)phenol-13C6 Diethoxylate
参考CAS号: D472850 Unlabelled (no cas#)
分子式: C₁₃¹³C₆H₃₂O₃
分子量: 314.41
储存: 冰箱保存
种类: Research Tools;
应用: 4-(1,1-Dimethylheptyl)phenol-13C6 Diethoxylate is labelled 4-(1,1-Dimethylheptyl)phenol Diethoxylate (D472850) which is capable of stimulating vitellogenin gene expression in trout hepatocytes, gene transcription in transfected cells, and the growth of breast cancer cell lines.
参考文献


2011-2018 信阳莱耀生物科技有限公司 版权所有

中检所标准品,对照品,标准气体
Keywords: 中检所标准品 对照品 标准气体