您的位置:对照品 > 标准物质 > 标准样品 > |
|
|
|
| 产品基本信息 |
|
| 产品编号:N378016 |
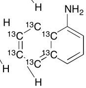
| 产品名称:1-Naphthylamine-13C6 |
| 产品CAS: |
| 规格含量:10mg |
| 产品价格:面议 |
| 联系我们: |
|
|
|
|
|
| 产品详细介绍 |
| 标准品编号: |
N378016 |
| 名称: |
1-Naphthylamine-13C6 |
| 别名: |
1-Aminonaphthalene-13C6; Fast Garnet Base B-13C6; Naphthalen-1-ylamine-13C6; Naphthalidam-13C6; Naphthalidine-13C6; α-Naphthylamine-13C6 |
| 参考CAS号: |
134-32-7 unlabelled |
| 分子式: |
C₄¹³C₆H₉N |
| 分子量: |
149.14 |
| 种类: |
Building Blocks; Isotopic Labeled Analogues; |
| 应用: |
1-Naphthylamine-13C6 is labelled 1-Naphthylamine (N378015) which is a reagent used to synthesize various dyes used in the textile industry. |
| 危险品: |
Not a dangerous good if item is equal to or less than 1g/ml and there is less than 100g/ml in the package |
| 参考文献 |
|
|
|
|
|
|
|
|