您的位置:对照品 > 标准物质 > 标准样品 > |
|
|
|
| 产品基本信息 |
|
| 产品编号:M745845 |
| 产品名称:MPEG-2000-DSPE |
| 产品CAS:147867-65-0 |
| 规格含量:250mg |
| 产品价格:面议 |
| 联系我们: |
|
|
|
|
|
| 产品详细介绍 |
| 标准品编号: |
M745845 |
| 名称: |
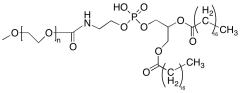
MPEG-2000-DSPE |
| 别名: |
α-[6-Hydroxy-6-oxido-1,12-dioxo-9-[(1-oxooctadecyl)oxy]-5,7,11-trioxa-2-aza-6-phosphanonacos-1-yl]-ω-methoxy-Poly(oxy-1,2-ethanediyl) |
| CAS号: |
147867-65-0 |
| 分子式: |
(C₂H₄O)nC₄₃H₈₄NO₁₀P |
| 外观: |
白色固体 |
| 熔点: |
53-54°C |
| 储存: |
-20°C Freezer |
| 溶解度: |
Chloroform (Slightly), Methanol (Slightly) |
| 种类: |
Standards; Phosphates; Lipids/Fatty Acids, Glycerol Derivatives; |
| 应用: |
MPEG-2000-DSPE was used to study stability and biodistribution and toxicity of lung-specific liposomal antitubercular drugs. |
| 参考文献 |
|
|
|
|
|
|
|
|