您的位置:对照品 > 标准物质 > 标准样品 > |
|
|
|
| 产品基本信息 |
|
| 产品编号:M165102 |
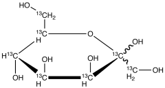
| 产品名称:D-Mannoheptulose-13C7 |
| 产品CAS: |
| 规格含量:10mg |
| 产品价格:面议 |
| 联系我们: |
|
|
|
|
|
| 产品详细介绍 |
| 标准品编号: |
M165102 |
| 名称: |
D-Mannoheptulose-13C7 |
| 别名: |
D-Manno-2-heptulose-13C7; (+)-Mannoheptulose-13C7; NSC 226836-13C7; |
| 参考CAS号: |
3615-44-9-unlabelled |
| 分子式: |
¹³C₇H₁₄O₇ |
| 外观: |
白色固体 |
| 熔点: |
135-141˚C |
| 分子量: |
217.13 |
| 储存: |
冰箱 |
| 溶解度: |
Water |
| 种类: |
Standards; Isotopic Labeled Analogues; Pharmaceutical/API Drug Impurities/Metabolites; Carbohydrates and Oligosaccharides; |
| 应用: |
Labelled Mannoheptulose (M165100). It occurs naturally in avocado fruit. It is used for normalizing insulin levels and reducing weight. |
| 参考文献 |
|
|
|
|
|
|
|
|