欢迎光临:莱耀标准品网!
 您的位置:对照品 > 标准物质 > 标准样品 >
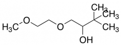
1-(2-methoxyethoxy)-3,3-dimethylbutan-2-ol
产品基本信息
产品编号:M139415
产品名称:1-(2-methoxyethoxy)-3,3-dimethylbutan-2-ol
产品CAS:172744-78-4
规格含量:50mg
产品价格:面议
联系我们:
产品详细介绍
标准品编号: M139415
名称: 1-(2-methoxyethoxy)-3,3-dimethylbutan-2-ol
CAS号: 172744-78-4
分子式: C₉H₂₀O₃
分子量: 176.25
种类: Building Blocks; Miscellaneous;
应用: 1-(2-methoxyethoxy)-3,3-dimethylbutan-2-ol (cas# 172744-78-4) is a useful research chemical.
参考文献


2011-2018 信阳莱耀生物科技有限公司 版权所有

中检所标准品,对照品,标准气体
Keywords: 中检所标准品 对照品 标准气体