您的位置:对照品 > 标准物质 > 标准样品 > |
|
|
|
| 产品基本信息 |
|
| 产品编号:L328002 |
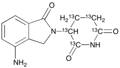
| 产品名称:rac Lenalidomide-13C5 |
| 产品CAS:1219332-91-8 |
| 规格含量:1mg |
| 产品价格:面议 |
| 联系我们: |
|
|
|
|
|
| 产品详细介绍 |
| 标准品编号: |
L328002 |
| 名称: |
rac Lenalidomide-13C5 |
| 别名: |
3-(4-Amino-1,3-dihydro-1-oxo-2H-isoindol-2-yl)-2,6-piperidinedione-13C5; 1-Oxo-2-(2,6-dioxopiperidin-3-yl)-4-aminoisoindoline-13C5; CC-5013-13C5; |
| CAS号: |
1219332-91-8 |
| 参考CAS号: |
191732-72-6 unlabelled |
| 分子式: |
C₈¹³C₅H₁₃N₃O₃ |
| 外观: |
Pale Yellow to 淡黄色固体 |
| 熔点: |
>234°C (dec.) |
| 分子量: |
264.22 |
| 储存: |
-20°C Freezer, Under Inert Atmosphere |
| 溶解度: |
DMSO (Slightly), Methanol (Very Slightly) |
| 种类: |
Standards; Isotopic Labeled Analogues; Pharmaceutical/API Drug Impurities/Metabolites; |
| 应用: |
Labelled Lenalidomide (L328000). Immunomodulatory drug; analog of Thalidomide. |
| 参考文献 |
|
|
|
|
|
|
|
|