欢迎光临:莱耀标准品网!
 您的位置:对照品 > 标准物质 > 标准样品 >
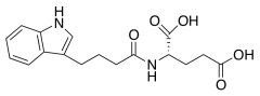
Indole-3-butyryl-L-glutamic Acid
产品基本信息
产品编号:I577785
产品名称:Indole-3-butyryl-L-glutamic Acid
产品CAS:1188364-93-3
规格含量:
产品价格:面议
联系我们:
产品详细介绍
标准品编号: I577785
名称: Indole-3-butyryl-L-glutamic Acid
别名: N-[4-(1H-Indol-3-yl)-1-oxobutyl]-L-glutamic Acid;
CAS号: 1188364-93-3
分子式: C₁₇H₂₀N₂O₅
分子量: 332.35
种类: Standards; Chiral Molecules; Pharmaceutical/API Drug Impurities/Metabolites;
应用: Indole-3-butyryl-L-glutamic Acid is an indole-3-butyryl-amino acid conjugate involved in regulatory mechanisms for the control of auxin activity during physiological and pathophysiological responses.
参考文献


2011-2018 信阳莱耀生物科技有限公司 版权所有

中检所标准品,对照品,标准气体
Keywords: 中检所标准品 对照品 标准气体