欢迎光临:莱耀标准品网!
 您的位置:对照品 > 标准物质 > 标准样品 >
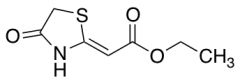
ethyl (2E)-(4-oxo-1,3-thiazolidin-2-ylidene)acetate
产品基本信息
产品编号:E902920
产品名称:ethyl (2E)-(4-oxo-1,3-thiazolidin-2-ylidene)acetate
产品CAS:24146-36-9
规格含量:500mg
产品价格:面议
联系我们:
产品详细介绍
标准品编号: E902920
名称: ethyl (2E)-(4-oxo-1,3-thiazolidin-2-ylidene)acetate
CAS号: 24146-36-9
分子式: C₇H₉NO₃S
分子量: 187.21
种类: Building Blocks; Miscellaneous;
应用: ethyl (2E)-(4-oxo-1,3-thiazolidin-2-ylidene)acetate (cas# 24146-36-9) is a useful research chemical.
参考文献


2011-2018 信阳莱耀生物科技有限公司 版权所有

中检所标准品,对照品,标准气体
Keywords: 中检所标准品 对照品 标准气体