欢迎光临:莱耀标准品网!
 您的位置:对照品 > 标准物质 > 标准样品 >
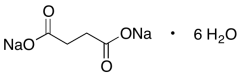
Disodium Succinate Hexahydrate
产品基本信息
产品编号:D688350
产品名称:Disodium Succinate Hexahydrate
产品CAS:6106-21-4
规格含量:5g
产品价格:面议
联系我们:
产品详细介绍
标准品编号: D688350
名称: Disodium Succinate Hexahydrate
别名: Disodium Butanedioate Hexahydrate
CAS号: 6106-21-4
分子式: C₄H₄Na₂O₄ · 6(H₂O)
分子量: 162.0561802
种类: Building Blocks; Miscellaneous;
应用: Disodium Succinate Hexahydrate in conjunction with Melatonin reduced liver mitochondrial dysfunction in rat with diabetes mellitus.
参考文献


2011-2018 信阳莱耀生物科技有限公司 版权所有

中检所标准品,对照品,标准气体
Keywords: 中检所标准品 对照品 标准气体