欢迎光临:莱耀标准品网!
 您的位置:对照品 > 标准物质 > 标准样品 >
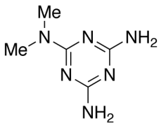
N,N-DimethylmelamineMetformin Impurity C
产品基本信息
产品编号:D474600
产品名称:N,N-Dimethylmelamine Metformin Impurity C
产品CAS:1985-46-2
规格含量:100mg
产品价格:面议
联系我们:
产品详细介绍
标准品编号: D474600
名称: N,N-Dimethylmelamine Metformin Impurity C
别名: 2,4-Diamino-6-(dimethylamino)-s-triazine; 2-(Dimethylamino)-4,6-diamino-s-triazine; 2,4-Diamino-6-dimethylamino-1,3,5-triazine; ENT 22312; N,N-Dimethyl-1,3,5-triazine-2,4,6-triamine; N2,N2-Dimethylmelamine; NSC 4417; USP Metformin Related Compound C; Metformin EP Impurity C
杂质: Metformin USP Related Compound C
CAS号: 1985-46-2
分子式: C₅H₁₀N₆
外观: 白色至白色固体
熔点: >300°C (dec.)
分子量: 154.17
储存: 冰箱保存
溶解性: Aqueous Acid (Slightly), DMSO (Slightly), Methanol (Very Slightly, Heated)
种类: Standards; Pharmaceutical/API Drug Impurities/Metabolites;
应用: N-Demethylated (Metformin EP Impurity C) metabolite of Altretamine (A575765) with antitumor activity. It is used as a chemosterilant for insects, particularly houseflies.
参考文献


2011-2018 信阳莱耀生物科技有限公司 版权所有

中检所标准品,对照品,标准气体
Keywords: 中检所标准品 对照品 标准气体