欢迎光临:莱耀标准品网!
 您的位置:对照品 > 标准物质 > 标准样品 >
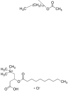
(+/-)-Decanoylcarnitine Chloride
产品基本信息
产品编号:D212660
产品名称:(+/-)-Decanoylcarnitine Chloride
产品CAS:18822-87-2
规格含量:100mg
产品价格:面议
联系我们:
产品详细介绍
标准品编号: D212660
名称: (+/-)-Decanoylcarnitine Chloride
别名: Decanoyl Carnitine Hydrochloride; Decanoyl-d,l-carnitine Hydrochloride; Decanoylcarnitine Chloride; 3-Carboxy-N,N,N-trimethyl-2-[(1-oxodecyl)oxy]-1-propanaminium Chloride;
CAS号: 18822-87-2
参考CAS号: Old CAS # 14919-36-9
分子式: C₁₇H₃₄ClNO₄
外观: 白色至白色固体
熔点: 160-165°C
分子量: 351.91
储存: Hygroscopic, -20°C Freezer, Under inert atmosphere
溶解性: DMSO (Slightly), Methanol (Slightly)
种类: Standards; Pharmaceutical/API Drug Impurities/Metabolites; Lipids/Fatty Acids, Glycerol Derivatives;
应用: (+/-)-Decanoylcarnitine Chloride is a homolog of Acetylcarnitine Chloride (A171990) and an intermediate in lipid metabolism. It also functions in the physiological enhancement of paracellular drug transport.
参考文献


2011-2018 信阳莱耀生物科技有限公司 @ 信阳埃尔文生物科技有限公司版权所有

中检所标准品,对照品,标准气体
Keywords: 中检所标准品 对照品 标准气体