欢迎光临:莱耀标准品网!
 您的位置:对照品 > 标准物质 > 标准样品 >
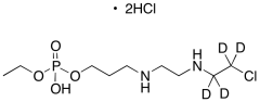
3-((2-((2-Chloroethyl)amino)ethyl)amino)propyl Ethyl Phosphate Dihydrochloride-d4
产品基本信息
产品编号:C984607
产品名称:3-((2-((2-Chloroethyl)amino)ethyl)amino)propyl Ethyl Phosphate Dihydrochloride-d4
产品CAS:
规格含量:2.5mg
产品价格:面议
联系我们:
产品详细介绍
标准品编号: C984607
名称: 3-((2-((2-Chloroethyl)amino)ethyl)amino)propyl Ethyl Phosphate Dihydrochloride-d4
分子式: C₉H₂₀D₄Cl₃N₂O₄P
分子量: 365.66
类别: Standards; Isotopic Labeled Analogues;
应用: 3-((2-((2-Chloroethyl)amino)ethyl)amino)propyl Ethyl Phosphate Dihydrochloride-d4, a deuterium labelled3-((2-((2-Chloroethyl)amino)ethyl)amino)propyl Ethyl Phosphate Dihydrochloride (C984605),is a derivative ofCyclophosphamide Monohydrate (C988580), a known human carcinogen that is widely used in cancer chemotherapy because it can cross-link DNA causing strand breakage and mutation.
参考文献


2011-2018 信阳莱耀生物科技有限公司 @ 信阳埃尔文生物科技有限公司版权所有

中检所标准品,对照品,标准气体
Keywords: 中检所标准品 对照品 标准气体