欢迎光临:莱耀标准品网!
 您的位置:对照品 > 标准物质 > 一级标准物质 >
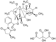
Methyllycaconitine Citrate
产品基本信息
产品编号:M315808
产品名称:Methyllycaconitine Citrate
产品CAS:112825-05-5
规格含量:25mg
产品价格:面议
联系我们:
产品详细介绍
标准品编号: M315808
名称: Methyllycaconitine Citrate
别名: [1α,4(S),6β,14α,16β]-20-Ethyl-1,6,14,16-tetramethoxy-4-[[[2-(3-methyl-2,5-dioxo-1-pyrrolidinyl)benzoyl]oxy]methyl]-aconitane-7,8-diol 2-Hydroxy-1,2,3-propanetricarboxylate (Salt)
CAS号: 112825-05-5
参考CAS号: 21019-30-7 free base
分子式: C₄₃H₅₈N₂O₁₇
分子量: 874.92
种类: Standards; Chiral Molecules; Pharmaceutical/API Drug Impurities/Metabolites;
应用: Methyllycaconitine citrate is a potent antagonist for α7-containing neuronal nicotinic receptors.
参考文献


2011-2018 信阳莱耀生物科技有限公司 @ 信阳埃尔文生物科技有限公司版权所有

中检所标准品,对照品,标准气体
Keywords: 中检所标准品 对照品 标准气体