您的位置:对照品 > 标准物质 > 一级标准物质 > |
|
|
|
| 产品基本信息 |
|
| 产品编号:N390800 |
| 产品名称:Netilmicin Sulfate |
| 产品CAS:56391-57-2 |
| 规格含量:10mg |
| 产品价格:面议 |
| 联系我们: |
|
|
|
|
|
| 产品详细介绍 |
| 标准品编号: |
N390800 |
| 名称: |
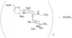
Netilmicin Sulfate |
| 别名: |
O-3-Deoxy-4-C-methyl-3-(methylamino)-β-l-arabinopyranosyl-(1-6)-O-[2,6-diamino-2,3,4,6-tetradeoxy-α-D-glycero-hex-4-enopyranosyl-(1-4)]-2-deoxy-N’-ethyl-D-streptamine; Certomycin; Netililn; Netilyn; Netromicine; Netromycin; Nettacin; Vectacin; |
| CAS号: |
56391-57-2 |
| 参考CAS号: |
Free Base: 56391-56-1 |
| 分子式: |
C₄₂H₉₂N₁₀O₃₄S₅ |
| 外观: |
白色至淡黄色固体 |
| 熔点: |
>158°C (dec.) |
| 分子量: |
1441.554756 |
| 储存: |
Hygroscopic, -20°C Freezer, Under inert atmosphere |
| 溶解度: |
Water (Slightly) |
| 稳定性: |
Hygroscopic |
| 种类: |
Standards; Chiral Molecules; Pharmaceutical/API Drug Impurities/Metabolites; Antibotics; |
| 应用: |
Semisynthetic aminoglycoside antibiotic, related to sisomicin. Antibacterial. |
| 参考文献 |
|
|
|
|
|
|
|
|