欢迎光临:莱耀标准品网!
 您的位置:对照品 > 标准物质 > 一级标准物质 >
(2E,​4E)​-3-​Methyl-​5-​[(2S,​3S)​-​3-​methyl-​3-​(4-​methyl-​3-​
产品基本信息
产品编号:M320168
产品名称:(2E,​4E)​-3-​Methyl-​5-​[(2S,​3S)​-​3-​methyl-​3-​(4-​methyl-​3-​
产品CAS:153651-93-5
规格含量:25mg
产品价格:面议
联系我们:
产品详细介绍
标准品编号: M320168
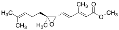
名称: (2E,​4E)​-3-​Methyl-​5-​[(2S,​3S)​-​3-​methyl-​3-​(4-​methyl-​3-​penten-​1-​yl)​-​2-​oxiranyl]​-2,​4-​pentadienoic Acid Methyl Ester
别名: (2E,4E)-Methyl 3-Methyl-5-((2S,3S)-3-methyl-3-(4-methylpent-3-en-1-yl)oxiran-2-yl)penta-2,4-dienoate
CAS号: 153651-93-5
分子式: C₁₆H₂₄O₃
外观: Yellow Oil
分子量: 264.36
储存: -20°C Freezer
溶解度: Dichloromethane, Ethyl Acetate, THF
种类: Standards; Miscellaneous;
应用: (2E,​4E)​-3-​Methyl-​5-​[(2S,​3S)​-​3-​methyl-​3-​(4-​methyl-​3-​penten-​1-​yl)​-​2-​oxiranyl]​-2,​4-​pentadienoic Acid Methyl Ester is an intermediate in synthesizing Juvenile Hormone B 3 (J211205), a sesquiterpenoid produced by the larval ring gland and adult corpus allatum (CA) of Drosophila melanogaster. Juvenile hormones regulate development, reproduction, diapause, and polyphenisms.
参考文献


2011-2018 信阳莱耀生物科技有限公司 @ 信阳埃尔文生物科技有限公司版权所有

中检所标准品,对照品,标准气体
Keywords: 中检所标准品 对照品 标准气体