欢迎光临:莱耀标准品网!
 您的位置:对照品 > 标准物质 > 一级标准物质 >
8-Methoxycarbonyloctyl-4-O-(2’-acetamido-2’-deoxy-β-D-glucopy
产品基本信息
产品编号:M261540
产品名称:8-Methoxycarbonyloctyl-4-O-(2’-acetamido-2’-deoxy-β-D-glucopy
产品CAS:
规格含量:10mg
产品价格:面议
联系我们:
产品详细介绍
标准品编号: M261540
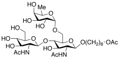
名称: 8-Methoxycarbonyloctyl-4-O-(2’-acetamido-2’-deoxy-β-D-glucopyranosyl)-6-O-α-L-fucopyranosyl-2-deoxy-β-D-glucopyranoside
别名: 8-Methoxycarbonyloctyl-6-O-α-L-fucopyranosyl-N,N’-diacetyl-chitobioside
参考CAS号: 1038619-31-6 (no stereochem)
分子式: C₃₂H₅₆N₂O₁₇
外观: 白色固体
熔点: 283-286°C
分子量: 740.79
储存: -20°C Freezer
溶解度: Sparingly Soluble in Water
种类: Standards; Carbohydrates and Oligosaccharides;
应用: A synthetic antigen which may be linked to proteins.
参考文献


2011-2018 信阳莱耀生物科技有限公司 @ 信阳埃尔文生物科技有限公司版权所有

中检所标准品,对照品,标准气体
Keywords: 中检所标准品 对照品 标准气体