欢迎光临:莱耀标准品网!
 您的位置:对照品 > 标准物质 > 一级标准物质 >
Maltoundecose
产品基本信息
产品编号:M159030
产品名称:Maltoundecose
产品CAS:50270-86-5
规格含量:
产品价格:面议
联系我们:
产品详细介绍
标准品编号: M159030
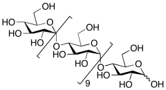
名称: Maltoundecose
别名: O-α-D-glucopyranosyl-(1→4)-O-α-D-glucopyranosyl-(1→4)-O-α-D-glucopyranosyl-(1→4)-O-α-D-glucopyranosyl-(1→4)-O-α-D-glucopyranosyl-(1→4)-O-α-D-glucopyranosyl-(1→4)-O-α-D-glucopyranosyl-(1→4)-O-α-D-glucopyranosyl-(1→4)-O-α-D-glucopyranosyl-(1→4)-O-α-D-glucopyranosyl-(1→4)-D-Glucose;
CAS号: 50270-86-5
分子式: C₆₆H₁₁₂O₅₆
分子量: 1801.56
种类: Standards; Food;
应用: Maltoundecose is a long branched chain of Maltose (M160650) units, molecules which arecommonly found in foods and commonly utilized in brewing processes.
参考文献


2011-2018 信阳莱耀生物科技有限公司 @ 信阳埃尔文生物科技有限公司版权所有

中检所标准品,对照品,标准气体
Keywords: 中检所标准品 对照品 标准气体