欢迎光临:莱耀标准品网!
 您的位置:对照品 > 标准物质 > 一级标准物质 >
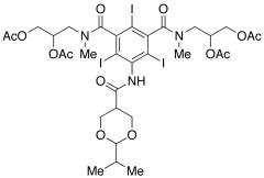
Isobutylidene Iobitridol Tetraacetate
产品基本信息
产品编号:I780150
产品名称:Isobutylidene Iobitridol Tetraacetate
产品CAS:1391051-74-3
规格含量:10mg
产品价格:面议
联系我们:
产品详细介绍
标准品编号: I780150
名称: Isobutylidene Iobitridol Tetraacetate
别名: N,N'-Bis(2,3-diacetyloxypropyl)-2,4,6-triiodo-N,N'-dimethyl-5-[[[2-(1-methylethyl)-1,3-dioxan-5-yl]carbonyl]amino]-1,3-benzenedicarboxamide
CAS号: 1391051-74-3
分子式: C₃₂H₄₃I₃N₃O₁₃
外观: Yellow Solid
分子量: 1057.4
溶解度: Chloroform
种类: Standards; Pharmaceutical/API Drug Impurities/Metabolites;
应用: Iobitridol (I666700) intermediate.
参考文献


2011-2018 信阳莱耀生物科技有限公司 @ 信阳埃尔文生物科技有限公司版权所有

中检所标准品,对照品,标准气体
Keywords: 中检所标准品 对照品 标准气体