欢迎光临:莱耀标准品网!
 您的位置:对照品 > 标准物质 > 一级标准物质 >
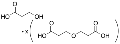
3-Hydroxypropionic Acid, Approx 30% in Water (with varying amounts of 3,3'-Oxydipropanoic
产品基本信息
产品编号:H961903
产品名称:3-Hydroxypropionic Acid, Approx 30% in Water (with varying amounts of 3,3'-Oxydipropanoic
产品CAS:503-66-2
规格含量:250mg
产品价格:面议
联系我们:
产品详细介绍
标准品编号: H961903
名称: 3-Hydroxypropionic Acid, Approx 30% in Water (with varying amounts of 3,3'-Oxydipropanoic Acid)
别名: 3-Hydroxypropanoic Acid; 2-Deoxyglyceric Acid; 3-Hydroxypropionic Acid; Ethylenelactic Acid; β-Hydroxypropionic Acid; β-Lactic Acid
CAS号: 503-66-2
分子式: C₃H₆O₃ • x(C ₆H₁₀O₅)
外观: Clear Colourless Solution
分子量: 90.0816214
储存: 冰箱
溶解度: Methanol, Water
种类: Building Blocks; Miscellaneous;
应用: 3-Hydroxypropionic Acid induces gene expressions and also functions as a reagent for industrial application.
参考文献


2011-2018 信阳莱耀生物科技有限公司 @ 信阳埃尔文生物科技有限公司版权所有

中检所标准品,对照品,标准气体
Keywords: 中检所标准品 对照品 标准气体