欢迎光临:莱耀标准品网!
 您的位置:对照品 > 标准物质 > 一级标准物质 >
3-Hydroxypropionitrile-13C3
产品基本信息
产品编号:H951004
产品名称:3-Hydroxypropionitrile-13C3
产品CAS:
规格含量:5mg
产品价格:面议
联系我们:
产品详细介绍
标准品编号: H951004
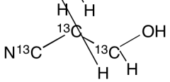
名称: 3-Hydroxypropionitrile-13C3
别名: 2-Cyanoethyl Alcohol-13C3 ; 2-Hydroxycyanoethane-13C3 ; 2-Hydroxyethyl Cyanide-13C3 ; Ethylene Cyanohydrin-13C3 ; Glycol Canohydrin-13C3; 2-Cyanoethanol-13C3 ;
参考CAS号: 109-78-4
分子式: ¹³C₃H₅NO
分子量: 74.06
种类: Building Blocks; Isotopic Labeled Analogues; Miscellaneous;
应用: 3-Hydroxypropionitrile-13C3 is an intermediate used in the synthesis of 3-Hydroxypropionic Acid-13C3 Sodium Salt (H952481), which is an isotope labelled analogue of 3-Hydroxypropionic Acid Sodium Salt (H952480), which is beta hydroxy acid derived from plants and crops such as corn. 3-Hydroxypropionic Acid is used in the preparation of acrylates and biodegradable polymer polyester.
参考文献


2011-2018 信阳莱耀生物科技有限公司 @ 信阳埃尔文生物科技有限公司版权所有

中检所标准品,对照品,标准气体
Keywords: 中检所标准品 对照品 标准气体