欢迎光临:莱耀标准品网!
 您的位置:对照品 > 标准物质 > 一级标准物质 >
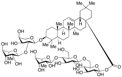
Hederasaponin B
产品基本信息
产品编号:H129965
产品名称:Hederasaponin B
产品CAS:36284-77-2
规格含量:50mg
产品价格:面议
联系我们:
产品详细介绍
标准品编号: H129965
名称: Hederasaponin B
别名: 3-O-α-L-Rhamnopyranosyl-(1→2)-α-L-arabinopyranosyloleanolic Acid 28-O-α-L-Rhamnopyranosyl-(1→4)-β-D-glucopyranose-(1→6)-β-D-glucopyranoside; Eleutheroside M; Glycoside L-G2; Hederacolchiside C; Hederacoside B; Hederagenin B; Saponin Pl3; Tauroside G2; Tauroside St-G2
CAS号: 36284-77-2
分子式: C₅₉H₉₆O₂₅
外观: 未标明外观
熔点: 未标明外观
分子量: 1205.38
溶解度: 未标明外观
种类: Standards; Pharmaceutical/API Drug Impurities/Metabolites; Carbohydrates and Oligosaccharides; Steroids;
应用: Hederasaponin B is an antiviral agent, extracted from Hedera helix, used in the treatment of hand, foot and mouth disease (HFMD). Steroidal saponin with potential antitumor activity.
参考文献


2011-2018 信阳莱耀生物科技有限公司 @ 信阳埃尔文生物科技有限公司版权所有

中检所标准品,对照品,标准气体
Keywords: 中检所标准品 对照品 标准气体