您的位置:对照品 > 标准物质 > 一级标准物质 > |
|
|
|
| 产品基本信息 |
|
| 产品编号:G615253 |
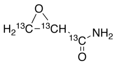
| 产品名称:Glycidamide- 13C3 |
| 产品CAS:1216449-31-8 |
| 规格含量:2.5mg |
| 产品价格:面议 |
| 联系我们: |
|
|
|
|
|
| 产品详细介绍 |
| 标准品编号: |
G615253 |
| 名称: |
Glycidamide- 13C3 |
| 别名: |
Oxiranecarboxamide-13C3, Glycidic Acid Amide |
| CAS号: |
1216449-31-8 |
| 参考CAS号: |
5694-00-8 unlabelled |
| 分子式: |
¹³C₃H₅NO₂ |
| 外观: |
白色至Light Orange Low Melting Solid |
| 熔点: |
32-34°C |
| 分子量: |
90.06 |
| 储存: |
Hygroscopic, -20°C Freezer, Under inert atmosphere |
| 溶解度: |
Acetone, Dichloromethane, Water |
| 种类: |
Standards; Isotopic Labeled Analogues; |
| 应用: |
An epoxide metabolite of acrylamide. It is neurotoxic and carcinogenic. |
| 参考文献 |
|
|
|
|
|
|