欢迎光临:莱耀标准品网!
 您的位置:对照品 > 标准物质 > 一级标准物质 >
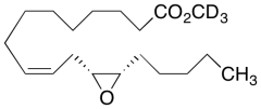
(±)-cis-12,13-Epoxy-9(Z)-octadecenoic acid methyl ester-d3
产品基本信息
产品编号:E589707
产品名称:(±)-cis-12,13-Epoxy-9(Z)-octadecenoic acid methyl ester-d3
产品CAS:
规格含量:50mg
产品价格:面议
联系我们:
产品详细介绍
标准品编号: E589707
名称: (±)-cis-12,13-Epoxy-9(Z)-octadecenoic acid methyl ester-d3
别名: (9Z)-rel-11-[(2R,3S)-3-Pentyl-2-oxiranyl]-9-undecenoic acid methyl ester-d3; [2α(Z),3α]-11-(3-Pentyloxiranyl)-,9-undecenoic acid methyl ester-d3; (9Z)-rel-11-[(2R,3S)-3-Pentyloxiranyl]-9-undecenoic acid methyl ester-d3; cis-12,13-Epoxy-oleic acid methyl ester-d3; Methyl isoleukotoxin-d3; cis-12(13)-Epome-d3
参考CAS: 10547-36-1 unlabelled
分子式: C₁₉H₃₁D₃O₃
分子量: 313.49
种类: Research Tools;
应用: (±)-cis-12,13-Epoxy-9(Z)-octadecenoic acid methyl ester-d3 is labelled (±)-cis-12,13-Epoxy-9(Z)-octadecenoic acid methyl ester (E589705) which can be used as an inhibitor of soybean lipoxygenase.
参考文献


2011-2018 信阳莱耀生物科技有限公司 @ 信阳埃尔文生物科技有限公司版权所有

中检所标准品,对照品,标准气体
Keywords: 中检所标准品 对照品 标准气体