欢迎光临:莱耀标准品网!
 您的位置:对照品 > 标准物质 > 一级标准物质 >
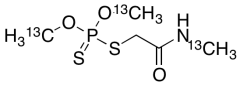
Dimethoate-13C3
产品基本信息
产品编号:D460508
产品名称:Dimethoate-13C3
产品CAS:
规格含量:2.5mg
产品价格:面议
联系我们:
产品详细介绍
标准品编号: D460508
名称: Dimethoate-13C3
别名: Phosphorodithioic Acid O,O-Dimethyl S-[2-(Methylamino)-2-oxoethyl] Ester-13C3; Phosphorodithioic Acid O,O-Dimethyl S-(Methylcarbamoylmethyl) Ester-13C3; 8014 Bis HC;-13C3 Aadimethoal-13C3; American Cyanamid 12,880-13C3; BI 58-13C3; CL 12880-13C3; Chloromezyl-13C3; Cygon-13C3; Daphene-13C3; De-fend-13C3; Dimate-13C3; Dimeton-13C3; Dimevur-13C3; Dimezyl-13C3; Ditimur 40-13C3; ENT 24650-13C3; FIP-13C3; Fosfatox R-13C3; Fosfotox-13C3; Fostion MM-13C3; Laition-13C3; Lurgo-13C3; O,O-Dimethyl S-(N-Methylcarbamoylmethyl) Dithiophosphate-13C3; PEI 75-13C3; Perfekthion-13C3; Phosphamide-13C3; Racusan-13C3; Rogor-13C3; Roxion-13C3; S-Methylcarbamoylmethyl O,O-Dimethyl Phosphorodithioate-13C3; Salut-13C3; Sinoratox-13C3; Sistemin-13C3; Systemin-13C3; Systoate-13C3; Tara-13C3; Tiomet-13C3
参考CAS号: 未标记:60-51-5
分子式: C₂¹³C₃H₁₂NO₃PS₂
分子量: 232.24
种类: Standards; Isotopic Labeled Analogues; Environmental Standards, Mutagens and Metabolites;
应用: Isotope labelled Dimethoate (D460505) is an organophosphate insecticide (1). It is an anti-cholinesterase which disables cholinesterase, an enzyme essential for central nervous system function (2). Drinking water contaminant candidate list 3 (CCL 3) compound as per United States Environmental Protection Agency (EPA), environmental, and food contaminants. Used as a standard for Pesticide detection.
危险品: Not a dangerous good if item is equal to or less than 1g/ml and there is less than 100g/ml in the package
参考文献


2011-2018 信阳莱耀生物科技有限公司 @ 信阳埃尔文生物科技有限公司版权所有

中检所标准品,对照品,标准气体
Keywords: 中检所标准品 对照品 标准气体