欢迎光临:莱耀标准品网!
 您的位置:对照品 > 标准物质 > 一级标准物质 >
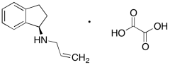
(1R)-2,3-Dihydro-N-2-propen-1-yl-1H-inden-1-amine Ethanedioate
产品基本信息
产品编号:D450435
产品名称:(1R)-2,3-Dihydro-N-2-propen-1-yl-1H-inden-1-amine Ethanedioate
产品CAS:1166392-43-3
规格含量:50mg
产品价格:面议
联系我们:
产品详细介绍
标准品编号: D450435
名称: (1R)-2,3-Dihydro-N-2-propen-1-yl-1H-inden-1-amine Ethanedioate
别名: (R)-N-Allyl-2,3-dihydro-1H-inden-1-amine Oxalate; (R)-N-Allyl-1-aminoindane Oxalate; Rasagiline Impurity Oxalate Salt
CAS号: 1166392-43-3
参考CAS号: Free Base: 1166392-42-2
分子式: C₁₄H₁₇NO₄
外观: 白色固体
熔点: 213-217°C
分子量: 263.29
储存: 冰箱保存
溶解性: DMSO (Slightly), Water (Slightly)
种类: Building Blocks; Miscellaneous;
应用: (1R)-2,3-Dihydro-N-2-propen-1-yl-1H-inden-1-amine Ethanedioate is an intermediate used in the synthesis of propargylated aminoindan derivatives via allylation, bromination, dehalogenation sequence.
参考文献


2011-2018 信阳莱耀生物科技有限公司 @ 信阳埃尔文生物科技有限公司版权所有

中检所标准品,对照品,标准气体
Keywords: 中检所标准品 对照品 标准气体