欢迎光临:莱耀标准品网!
 您的位置:对照品 > 标准物质 > 一级标准物质 >
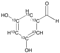
3,5-Dihydroxybenzaldehyde-13C6
产品基本信息
产品编号:D446487
产品名称:3,5-Dihydroxybenzaldehyde-13C6
产品CAS:
规格含量:50mg
产品价格:面议
联系我们:
产品详细介绍
标准品编号: D446487
名称: 3,5-Dihydroxybenzaldehyde-13C6
别名: α-Resorcylaldehyde-13C6
参考CAS号: 未标记:26153-38-8
分子式: C¹³C₆H₆O₃
分子量: 144.08
种类: Building Blocks; Isotopic Labeled Analogues;
应用: 3,5-Dihydroxybenzaldehyde-13C6 , is the labeled analogue of 3,5-Dihydroxybenzaldehyde (D446485), which is an organic building block used in the synthesis of variety of pharmaceutical compounds. It is used in the synthesis of Terbutaline (T109750), which is an important bronchodilator.
参考文献


2011-2018 信阳莱耀生物科技有限公司 @ 信阳埃尔文生物科技有限公司版权所有

中检所标准品,对照品,标准气体
Keywords: 中检所标准品 对照品 标准气体