您的位置:对照品 > 标准物质 > 一级标准物质 >
产品基本信息
产品编号:D416783
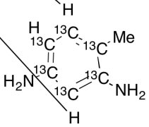
产品名称:2,4-Diaminotoluene-13C6
产品CAS:
规格含量:10mg
产品价格:面议
联系我们:
产品详细介绍
标准品编号:
D416783
名称:
2,4-Diaminotoluene-13C6
别名:
4-(Methyl)-1,3-benzenediamine-13C6; Toluene-2,4-diamine-13C6; 1,3-Diamino-4-(methyl)benzene-13C6; 2,4-Diamino-1-(methyl)benzene-13C6; 2,4-Tolylenediamine-13C6; 3-Amino-4-(methyl)aniline-13C6; 4-(Methyl)-1,3-benzendiamine-13C6; 4-(Methyl)-1,3-benzenediamine-13C6; 4-(Methyl)-1,3-phenylenediamine-13C6; 4-(Methyl)-m-phenylenediamine-13C6; Eucanine GB-13C6; Fouramine J-13C6; Fourrine M-13C6; Pelagol J-13C6; Renal MD-13C6; TDVIP(LA)13C6; Zoba GKE-13C6; m-Toluenediamine-13C6; m-Tolylenediamine-13C6;
参考CAS号:
95-80-7-未标记
分子式:
C¹³C₆H₁₀N₂
外观:
Light Brown to Beige to Dark Yellow Solid
熔点:
92-96°C
分子量:
128.12
储存:
冰箱保存
溶解性:
Chloroform (Sparingly), Methanol (Slightly)
种类:
Standards; Isotopic Labeled Analogues;
应用:
2,4-Diaminotoluene-13C6 is a isotope labelled analog of 2,4-Diaminotoluene (D416780). 2,4-Diaminotoluene is an aromatic amines likely to have high carcinogenic potency. QSARs of aromatic amines.
危险品:
Not a dangerous good if item is equal to or less than 1g/ml and there is less than 100g/ml in the package
参考文献
Franke, R., et al.: Carcinogenesis, 22, 1561 (2001), Benigni, R., et al.: Chem. Rev., 105, 1767 (2005), Benigni, R., et al.: Environ. Mol. Mutagen., 50, 152 (2009),
Download MSDS File